Posts: Petroleum engineering examples in R, Python, Excel and more

Simple linear regression: Y - Function example

R
Reservoir engineering

Composite IPR Curves

This methods is used with oil wells with water production

Well diagnostic plots, Chan Plot

Several methods can be useful in the identification the origin of excess water production

Group by using Dplyr

R
dplyr
Petrophysics

Make operations by group using dplyr package

Fontral advance equation: part 1

R
Well testing

Application of Buckley-Leverett and Welge solution with R code

Rock typing

Python
Reservoir engineering
Petrophysics

Calculate pore-throat sizes to group petrophysical data in rock types with python

Histograms with R Base and ggplot2

R
Reservoir engineering
Petrophysics

Histograms using well core data: porosity and permeability

Survey calculation methods: part 1

R
Drilling

The tangential method in R

Inflow performance relationship: Part 2

R
Reservoir engineering
Productivity

Generating IPR curve for two-phase reservoirs: Voguel Method

Material Balance: example 1, part 2

R
Reservoir engineering

Oil material balance calculation for a model without a gas cap and aquifer. Fit and Drive indeces.

Decline curve fitting with python

Python
Reservoir engineering

Fitting production data using hyperbolic model.

dca1_py

A short description of the post.

Inflow performance relationship: Part 1

R
Reservoir engineering

Generating IPR curve for single and two-phase reservoirs

Tiab's direct synthesis (TDS) technique

R
Well testing

TDS technique for pressure transient analysis

Material Balance: example 1, part 1

R
Reservoir engineering

Oil material balance calculation for a model without a gas cap and aquifer

1D radial Reservoir Simulation

R
Reservoir engineering
Reservoir simulation

Reservoir simulation example (7.12) from AAbou-Kassem, J., Farouq, S. M. & Rafiq, M. (2006) Reservoir simulation. A basic approach. Gulf Publising Company

Pseudopressure Calculation

R
Reservoir engineering

Estimate Pseudopressure to use it in reservoir engineering calculations

Define Functions in R

R

Learn how to define an own function to eliminate repetition from code and allows code reuse.

Simulate well test response using analytical solutions

R
Well testing

Using Stehfest Numerical Laplace Inversion algorithm to simulate well pressure response.

Interactive Production Plots

R
Reservoir engineering

Some examples of production plots using Plotly

Log-Log type curve analysis

Excel
Reservoir engineering

Estimating reservoir parameter using Gringarten-Bourdet Type Curve excel spreadsheet for a vertical well in a homogeneous reservoir with constant WBS and skin factor

Fetkovich-Arps Type Curves

R
Reservoir engineering

Estimating reservoir parameter using Fetkovich-Arps Type Curves excel spreadsheet.

Drawdown semilog analysis

R
Well testing

A basic drawdown test analysis using semilog method.

Reservoir simulation 1D example

R
Reservoir engineering
Reservoir simulation

Reservoir simulation example from Ertekin, T., et. al. (2001) Basic Applied Reservoir Simulation.

Spreadsheets

Excel
Reservoir engineering
Reservoir simulation

Some reservoir simulation spreadsheets in excel and VBA

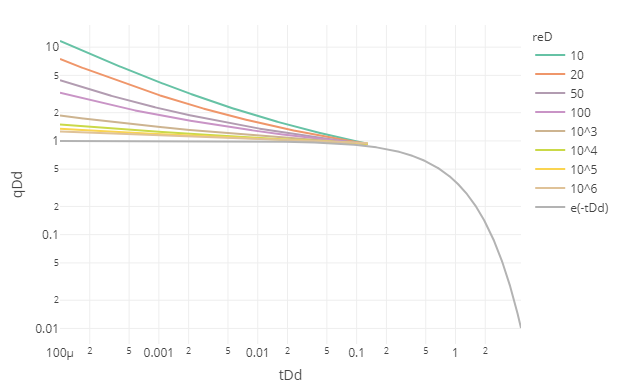
Arps Type Curves

R
Reservoir engineering

Generate your own type curve to curve matching

Reticulate in R

R
Python

Read log well .las file with Reticulate in R

Fetkovich Decline Curves

R
Reservoir engineering

A short description of the post.

Lorenz coefficient L

R
Petrophysics

Example. Calculate L in R

Logistic Growth Model(LMG) model

R
Reservoir engineering

Hubbert used the LGM approach to predict the cumulative production from gas and oil fields or region

Shale content methods

R
Petrophysics

Exercise 5.1 Sensitivity on Vsh Calculation Ref. Sanni, M. (2019) Petroleum Engineering. Principles, Calculatios, and Workflows

More articles »

Posts: Petroleum engineering examples in R language